21/03/2026

Apiksaban u odnosu na rivaroksaban u lečenju akutnog venskog tromboembolizma: gotovo prepolovljen rizik od krvarenja uz sličnu efikasnost

Pericardion

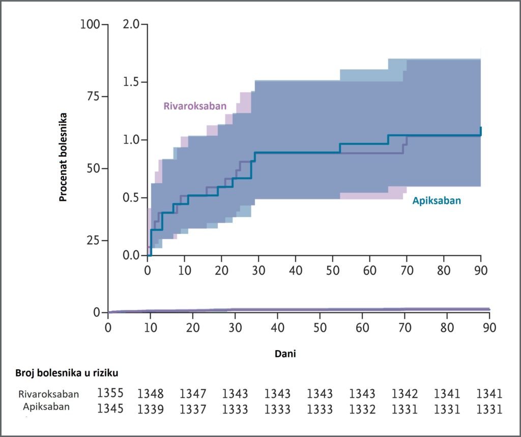
Direktno poređenje dva najčešće korišćena direktna oralna antikoagulansa u lečenju akutnog venskog tromboembolizma (VTE) dugo je nedostajalo. COBRRA studija, objavljena u časopisu New England Journal of Medicine, pokazuje da je tokom prva tri meseca terapije rizik od krvarenja gotovo prepolovljen uz apiksaban, dok razlika u stopi rekurentne tromboze nije uočena.

COBRRA je međunarodno randomizovano ispitivanje sa otvorenim dizajnom i slepim ocenjivanjem ishoda (PROBE), koje je uključilo 2760 odraslih bolesnika sa:

Bolesnici su randomizovani na:

Pericardion

Nastavite čitanje

Ostatak teksta je dostupan registrovanim zdravstvenim profesionalcima.

Registracija traje manje od jednog minuta.